

全国电缆线免费报价电话 180-3796-8852 邮箱:385089762@qq.com
手机:18037968852
电话:180-3796-8852
地址:上海市奉贤区金聚路388号
发布时间:2025-03-20 16:27:07 人气:
YJV:代表聚乙烯绝缘聚氯乙烯护套的电缆。
22代表铠装,即在线的外面有一层铁皮包裹,22代表钢带铠装缘聚氯乙烯护套。
YJV22铠装电缆
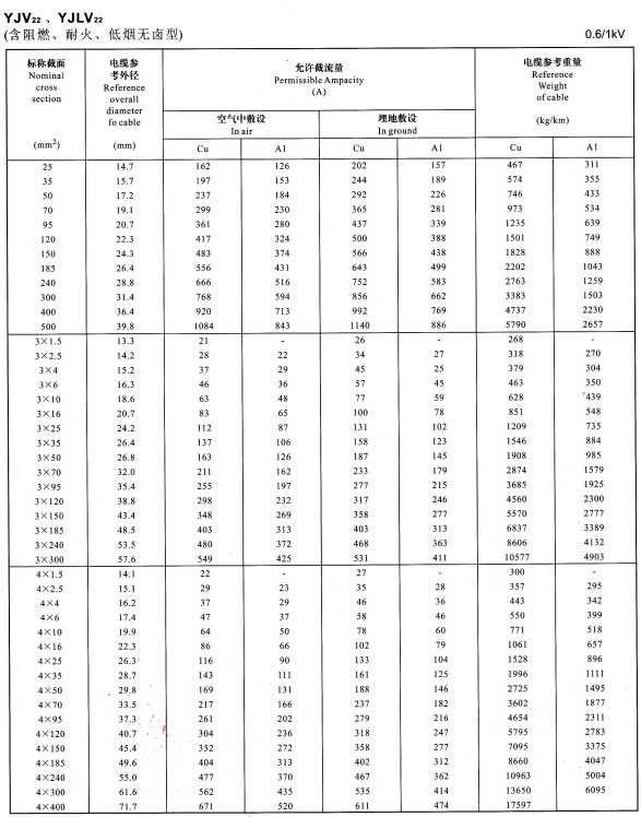
0.6/1KV单芯、3芯、4芯YJV22、YJLV22电缆载流量表

0.6/1KV3+1芯、5芯、4+1芯、3+2芯YJV22、YJLV22电缆载流量表
YJV22、YJVL22-3+1芯、5芯、4+1芯、3+2芯电缆载流量表
3.6/6KV3芯YJV22、YJLV22电缆载流量表
6/10KV3芯YJV22、YJLV22电缆载流量表
8.7/15KV3芯YJV22、YJLV22电缆载流量表
12/20KV3芯YJV22、YJLV22电缆载流量表
技术文献
产品知识